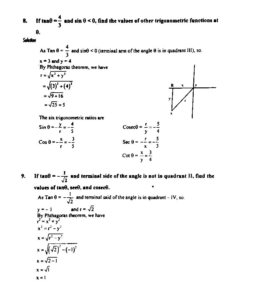
10TH CLASS MATH KEY BOOK SOLVED EXCERCISE 7.1 TO 7.5
EDUCATION, KNOWLEDGE, ENTERTAINMENT YOU CAN PUBLISHED YOUR CREATIONS BY EMAILING at panhwar2005@gmail.com
Subscribe to:
Post Comments (Atom)
- 
Class Five - 5 Sindhi all lessons solved Exercises along with Question and Answers according to STB syllabus
- 
MCQs PAKISTAN PENAL CODE 1860 1. Pakistan Penal Code, 1860 was enacted on ________ A. ...
- 
Code Of Criminal Procedure 1898 PAKISTAN 1. The Code of Criminal Procedure, 1898 was passed or enacted on ...
- 
Class Four - 4 Sindhi all lessons solved Exercises along with Question and Answers according to STB syllabus
- 
MCQs Code of Civil Procedure 1908 Pakistan Part-I 1. The Code of law which deals with Courts of Civil Judicature i...
- 
MCQs Constitution of Pakistan 1973 enforced on 14 August 1973 as said as By-Cameral law in Pakistan 1. Constitution of 197...
- 
Qanun-e-Shahadat, 1984 PAKISTAN 1. Qanun-e-Shahadat, 1984 was made by the President on _______ A....
- 
Reading Comprehension Passages with Q&A Passage Philosophy of Education is a label applied to the study of the purpose, process, natu...
- 
US-AID announced 13000 vacant posts of HST, JST, PST, SLT, ALT & non teaching staff for new project named US-AID-SINDH TEACHING PROGRA...

































































 
 
 
 
 
No comments:
Post a Comment